3.1. Progresiones
3.1.1. Concepto de progresión
Se llama progresión o sucesión matemática a una serie ordenada de números, ya sea finita o infinita. A cada uno de los números se le denomina término y se le representa por an, en donde n indica la posición del término en la secuencia.
Por ejemplo, en la sucesión 1, 1, 2, 3, 5, 8… el término a4=3 y a6=8.
3.1.2. Término general de una progresión
El término general de una progresión es una fórmula que permite obtener todos los términos de la misma. Por ejemplo el término general an=3n-1, genera la serie 2, 5, 8, 11… sustituyendo n por la posición 1, 2, 3… de cada término.
3.1.3. Sucesiones recurrentes
Las sucesiones recurrentes son aquellas cuyos términos, después de uno o varios consecutivos, se obtienen a partir de los anteriores.
La sucesión de Fibonacci es un claro ejemplo de sucesiones recurrentes. Se define como: a1=1, a2=1, an=an-1+an-2
. Esto quiere decir que, a partir del término a3 todos se calculan como la suma de los dos anteriores. De esta forma la sucesión queda: 1, 1, 2, 3, 5, 8…3.2. Progresión aritmética
Una progresión aritmética es aquella en la que cada término (menos el primero) se obtiene sumando al anterior una cantidad fija llamada diferencia (d). Si la diferencia es negativa obtendremos una progresión aritmética decreciente.
Por ejemplo si a1=3 y d=4 obtendremos la sucesión 3, 7, 11, 15…
Para saber si una progresión dada es aritmética:
- Hallamos d como diferencia de un término cualquiera y el anterior
- Comprobamos si la suma de cada término más la diferencia nos da el término siguiente.
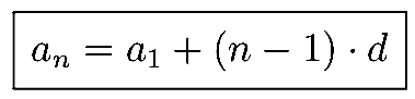
3.2.1. Término general de una progresión aritmética
El término general de una progresión aritmética es.

Si tenemos los términos ap y aq (q>p) de una progresión se cumple que:

3.2.2. Suma de los n primeros términos de una progresión aritmética
Para sumar los n primeros términos de una progresión aritmética hemos de aplicar cualquiera de las siguientes fórmulas:

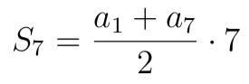
De esta forma si queremos sumar los primeros 7 términos de una progresión aritmética tendremos que hacer
para lo cual hay que calcular previamente a7, o bien utilizar la fórmula
, que depende únicamente de a1 y d.
Pincha para ver los
Ejercicios
Ejercicio PAG01 

Ejercicio PAG02 

Ejercicio PAG03 

Ejercicio PAG04 

Ejercicio PAG05 

Ejercicio PAG06 

Ejercicio PAG07 

Ejercicio PAG08 

Ejercicio PAG09 

Ejercicio PAG10 

Ejercicio PAG11 

Ejercicio PAG12 

Ejercicio PAG13 

Ejercicio PAG14 

Ejercicio PAG15 

3.3. Progresión geométrica
Una progresión geométrica es aquella en la que cada término (menos el primero) se obtiene multiplicando el anterior por una cantidad fija llamada razón (r).
Por ejemplo si a1=4 y r=3 obtenendremos la sucesión 4, 12, 36, 108…
Para saber si una progresión dada es geométrica:
- Hallamos r como cociente de un término cualquiera y el anterior.
- Comprobamos si el producto de cada término por la razón nos da el término siguiente.
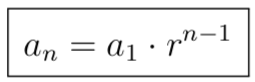
3.3.1. Término general de una progresión aritmética
El término general de una progresión geométrica es.

Si tenemos los términos ap y aq (q>p) de una progresión se cumple que:

3.3.2. Suma de los n primeros términos de una progresión geomética
Para sumar los n primeros términos de una progresión geométrica Podemos optar por cualquiera de estas fórmulas:

La primera me exige el cálculo de an, por lo que la que más vas a utilizar será la segunda.
De esta forma si queremos sumar los primeros 9 términos de una progresión geométrica tendremos que hacer
para lo cual hay que calcular previamente a1 y r
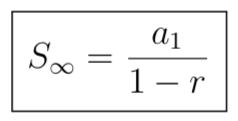
3.3.3. Suma de todos los términos de una progresión geomética con |r|<1
En el caso en que la razón cumpla que -1<r<1 se puede calcular la suma de todos los términos de una progresión geométrica con la fórmula:












