Cuando navegues por esta entrada recuerda que en cada ejercicio tienes la solución en PDF a la que puedes acceder pinchando en el icono. Pero si quieres tener todos los ejercicios y problemas resueltos los he reunido todos en un libro que puedes conseguir suscribiéndote a mi canal de YouTube y mandándome un correo con tu petición desde la pestaña Contacto.
6.1. Ecuaciones con dos incógnitas.
La expresión general de una ecuación de primer grado con dos incógnitas es la siguiente:

En donde a y b son los coeficientes de las incógnitas x e y, siendo c el término independiente.
6.1.1. Soluciones de una ecuación con dos incóginitas
Una solución de la ecuación con dos incógntias es una pareja de valores (x , y) que verifican o satisfacen la ecuación. Así: x=2, y=3 es solución de la ecuación x – 3y = -7 porque 2 – 3・3 = -7.
Una ecuación con dos incógnitas tiene infinitas soluciones y si las representamos forman una recta. Para obtener una solución damos valores a una de las incógnitas, por ejemplo y = 1 y despejamos la otra incógnita en la ecuación:

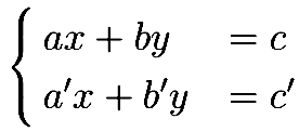
6.2. Sistemas de Ecuaciones. Solución.
Un sistema lineal de dos ecuaciones con dos incógnitas se expresa así:

Resolver un sistema de dos ecuaciones con dos incógnitas supone encontrar los valores de x e y que son solución de ambas ecuaciones al tiempo.
6.3. Resolución de un Sistemas por Tablas.
Este método, poco utilizado en la práctica, consiste en hacer una tabla e ir dando valores a una de las incógnitas y calculando la otra hasta encontrar la solución. Este sistema sólo sirve cuando las soluciones son números naturales y pequeños, pero créeme, solo lo utilizarás cuando te lo manden
.
. En el siguiente video te enseño la técnica de cómo hacerlo.
6.4. Resolución de un Sistemas por Sustitución de incógnitas.
Este método es útil cuando en alguna de las ecuaciones el coeficiente de una de las incógnitas es 1 o -1.
Para resolver un sistema de ecuaciones por el método de Sustitución debes seguir estos pasos:
- Despeja una de las incógnitas en una de las ecuaciones (elige la incógnita que sea mas fácil de despejar). Para esta explicación suponemos que hemos despejado la incógnita y.
- Sustituye esa incógnita en la otra ecuación. Te quedará una ecuación con una incógnita, en éste caso la x.
- Resuelve la ecuación resultante, hallando el valor de la incógnita x.
- Calculamos la otra incógnita (en este caso la y) sustituyendo en la ecuación que has obtenido en el primer paso.
- No es una paso obligado como tal pero deberías comprobar que tu solución satisface, verifica o cumple las dos ecuaciones del sistema para comprobar que no la cagaste
.
6.5. Resolución de un Sistemas por Igualación de incógnitas.
El método de igualación es muy útil para resolver sistemas en los cuales es fácil despejar la misma incógnita en ambas ecuaciones (pues éstas tienen como coeficiente 1 o -1 en ambas ecuaciones).
Para resolver un sistema de ecuaciones por el método de Igualación sigue estos pasos:
- Despejamos la misma incógnita en las dos ecuaciones (supongamos que despejamos y)
- Igualamos ambas expresiones quedando una ecuación con una incógnita (la x en nuestro caso).
- Resolvemos la ecuación y despejamos la incógnita x.
- La incógnita y la podemos calcular en cualquiera de las dos expresiones obtenidas en el paso 1.
6.6. Resolución de un Sistemas por Reducción de incógnitas.
El método de Reducción es muy útil cuando ninguno de los coeficientes de las incógnitas es 1 o -1. Consiste en «eliminar» (reducir) una de las incógnitas multiplicando las ecuaciones por un coeficiente de tal manera que al sumarlas se cancelen los términos de la incógnita que queremos eliminar.
Hay dos tipos de Reducción en función de cómo obtengamos la segunda de las incógnitas: Reducción – Sustitución, en el que la segunda incógnita la obtendremos por sustitución y Doble reducción en la que obtenemos la segunda de las incógnitas haciendo la reducción sobre la segunda de las incógnitas. Te explico ambos métodos en detalle en el siguiente video
6.7. Resolución de Problemas con Sistemas de Ecuaciones
Hale, ya sé cómo se resuelven sistemas lineales de dos ecuaciones con dos incógnitas pero ¿cómo hago con los problemas?. Pues melón, practicando! y aquí te dejo una colección de ejercicios para que te hartes a practicar.
Pincha para ver los
Problemas
Ejercicio PSE01 















