1.1. Sistemas de numeración. Los naturales.
El conjunto de números naturales es el formado por y son los que te puedes encontrar en la naturaleza.
1.2. Operaciones con números naturales. Propiedades.
Las operaciones básicas que podemos hacer con los números naturales son suma, resta, multiplicación y división. Estas operaciones tienen las siguientes propiedades:
Propiedades de la suma y del producto
Propiedad conmutativa: El orden de los sumandos o de los factores no altera el resultado.

Propiedad asociativa: El orden en el que se realizan las sumas o productos de tres o más números no altera el resultado.
![]()
Propiedad distributiva del producto respecto de la suma o de la resta: El producto de un número por una suma o resta es igual a la suma o resta de los productos. El proceso contrario se denomina extraer factor común.
![]()
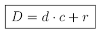
En una división el dividendo es igual al divisor por el cociente más el resto

Jerarquía de las operaciones
Para realizar operaciones combinadas hay que efectuar primero las operaciones entre paréntesis y corchetes y luego el resto siguiendo esta jerarquía:
- Multiplicaciones y divisiones, de izquierda a derecha
- Sumas y restas, de izquierda a derecha
Pincha Jerarquía de Operaciones
Ejercicio de Jerarquía de operaciones 01

Ejercicio de Jerarquía de operaciones 02

Ejercicio de Jerarquía de operaciones 03

Ejercicio de Jerarquía de operaciones 04

1.3. Múltiplos y divisores.
Múltiplos de un número
Un número es múltiplo de otro si es el resultado de multiplicarle por algún número natural. De esta forma 24 es múltiplo de 3 porque 24=3*8.
Divisores de un número
Un número es divisor o factor de otro si la división del segundo entre el primero es exacta. Así 7 es divisor de 56 porque 56:7=8
Para encontrar todos los divisores de un número le iremos dividiendo por 1, 2, 3… Si la división es exacta, tanto el divisor como el cociente serán divisores del número. Repetimos el proceso hasta que el cociente sea menor que el divisor.
Pincha Múltiplos y divisores
Ejercicio múltiplos y divisores 01

Ejercicio múltiplos y divisores 02

Ejercicio múltiplos y divisores 03

Relación entre múltiplos y divisores
La relación entre dos números a y b cuya división a:b es exacta, se puede expresar de las siguientes maneras:
- a es múltiplo de b.
- b es divisor de a.
- a es divisible entre b.
- b es un factor de a.
Una curiosidad: números perfectos y números amigos
Un número perfecto es aquel cuyos divisores propios (menores que él) suman el propio número. Así por ejemplo 6 es un número perfecto puesto que si sumamos sus divisores 1+2+3=6. También son perfectos el 28, 496 y 8128.
Dos números son amigos si los divisores propios del primero suman el segundo y los divisores propios del segundo suman el primero. La pareja 220 y 284 son números amigos.
1.4. Criterios de divisibilidad. Números primos y compuestos.
Criterios de divisibilidad
Los criterios de divisibilidad nos permiten saber si un número es divisible por otro sin necesidad de comprobar si la división es exacta.
- Por 2 si el número es par.
- Por 3 si la suma de sus cifras es múltiplo de 3.
- Por 4 si sus dos últimas cifras son 0 o múltiplo de 4.
- Por 5 si el número acaba en 0 o en 5.
- Por 7 si la diferencia del número sin las unidades y el doble de las unidades resulta 0 o un múltiplo de 7.
- Por 9 si la suma de sus cifras es múltiplo de 9.
- Por 10 si acaba en 0.
- Por 11 si la diferencia de las sumas de las posiciones pares e impares da 0 o múltiplo de 11.
- Por 25 si sus dos últimas cifras son 0 o múltiplo de 25.
- Por 100 Si sus dos últimas cifras son 0.
Pincha Criterios de divisibilidad
Ejemplo de criterios de divisibilidad 01

Números primos y compuestos
Un número es primo si sus únicos divisores con él mismo y la unidad.
Un número es compuesto si tiene más de dos divisores.
El 1 no se considera ni primo ni compuesto
Ejemplos de divisibilidad y números primos (EjemploIVD3) 

1.5. Máximo común divisor y mínimo común múltiplo.
Máximo común divisor
El máximo común divisor (m.c.d.) de varios números es el mayor de los divisores comunes.
Es decir, que si cogemos dos números A y B, hallamos sus divisores, seleccionamos los comunes y nos quedamos con el mayor habremos obtenido el m.c.d.(A,B).
Ejemplo de cálculo de m.c.d (EjemploMCD01) 

Dos números son primos entre sí cuando su m.c.d. es 1. Ten en cuenta que, como todos los números son divisibles por 1, al menos tendrán ese divisor común.
Ejemplo de números primos entre sí (EjemploMCD02) 

Si dos números A y B son múltiplos de k entonces
Ejemplo de m.c.d. (EjemploMCD03) 

Si un número es múltiplo de otro, el máximo común divisor de ambos números es el menor de ellos.
Ejemplo de m.c.d. (EjemploMCD04) 

Mínimo común múltiplo
Una igualdad numérica son dos expresiones numéricas unidas por un símbolo «=», que supone un contrato entre ambos miembros de la igualdad.
1.6. Descomposición en factores primos.
Ejemplo descomposición en factores primos 01
1.7. Cálculo del m.c.d y del m.c.m.
Pincha Ejercicios de m.c.d. y m.c.m.
Ejercicio de m.c.d y m.c.m. 01

Ejercicio de m.c.d y m.c.m. 02

Ejercicio de m.c.d. y m.c.m. 03

Ejercicio de m.c.d. y m.c.m. 04

Ejercicio de m.c.d. y m.c.m. 05

Ejercicio de m.c.d. y m.c.m. 06

Ejercicio de m.c.d. y m.c.m. 07

Ejercicio de m.c.d. y m.c.m. 08

Ejercicio de m.c.d y m.c.m. 09

Ejercicio de m.c.d. y m.c.m. 10

Ejercicio de m.c.d. y m.c.m. 11

Ejercicio de m.c.d. y m.c.m. 12

Ejercicio de m.c.d y m.c.m. 13

Ejercicio de m.c.d y m.c.m. 14

Ejercicio de m.c.d y m.c.m. 15

Ejercicio de m.c.d y m.c.m. 16

Ejercicio de m.c.d y m.c.m. 17

Ejercicio de m.c.d y m.c.m. 18

Gracias Íñigo por el vídeo me ha servido mucho 😘 Miri Nuri y Fer
Me gustaMe gusta