5.1. Igualdades y ecuaciones
Una igualdad numérica son dos expresiones numéricas unidas por un símbolo «=», que supone un contrato entre ambos miembros de la igualdad.

Una ecuación no es más que una igualdad en donde conviven términos numéricos y algebraicos, que son desconocidos y a los que llamaremos incógnitas.

5.2. Soluciones de una ecuación
Las soluciones de una ecuación (pueden ser varias), son todos los valores de la incógnita que verifican o satisfacen la ecuación. Así: x=2 es solución de la ecuación 4x-3=5 porque 4・2-3=5.
Dos ecuaciones son equivalentes si tienen las mismas soluciones. Por ejemplo: 3x-2=4 & 3x=6 son equivalentes porque la solución de ambas es x=2.
5.3. Reglas de la suma y el producto
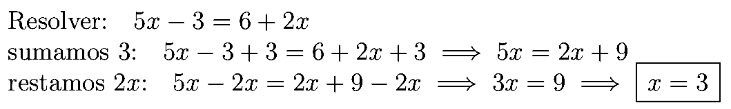
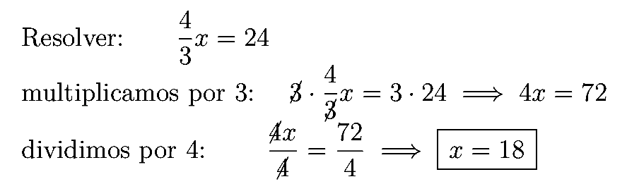
El truco para resolver una ecuación es obtener otra equivalente (con las mismas soluciones) que sea más fácil de resolver. Para ello nos valdremos de las siguientes reglas:
Regla de la suma
Si a los dos miembros de una ecuación les sumamos (o restamos) una cantidad o expresión algebraica, obtenemos una ecuación equivalente.

Regla del producto
Si los dos miembros de una ecuación se multiplican (o dividen) por un número distinto de cero, obtenemos una ecuación equivalente.

5.4. Resolución de ecuaciones de primer grado
Las ecuaciones de primer grado con una incógnita tienen una única solución. Para despejar la incógnita deberás seguir estos pasos:
- Quitar paréntesis
- Eliminar denominadores
- Simplificar términos semejantes
- Aplicar las reglas de la suma y el producto
5.5. Ecuaciones de segundo grado
Las ecuaciones de segundo grado son aquellas en las que la mayor potencia de la incógnita es 2. En el siguiente video aprenderás a resolverlas.
Y con este truco conseguirás ser el más rápido de la clase 😉
Y en los siguientes videos tienes ejercicios para practicar. Este primero es de ecuaciones de 2º grado completas.
Y los dos siguientes de ecuaciones de 2º grado incompletas
Y ahora un popurrí para que puedas practicar lo que has aprendido
5.6. Resolución de problemas mediante ecuaciones
No hay otra forma de aprender a resolver problemas de ecuaciones que practicar, pero si sigues estos consejos te será mucho más sencillo:
Y ahora que ya tienes todas las claves te recomiendo que visites esta lista de reproducción
que contiene medio centenar de problemas con ecuaciones resueltos con todo detalle. Si quieres intentarlos por tu cuenta echa mano de este documento
con los enunciados y soluciones de los ejercicios de la anterior lista.